Pelajaran Matematika Notasi Sigma

 Notasi Sigma adalah metode penjumlahan bilangan-bilangan berurut yang mengikuti pola tertentu dan dilambangkan dalam simbol Σ.

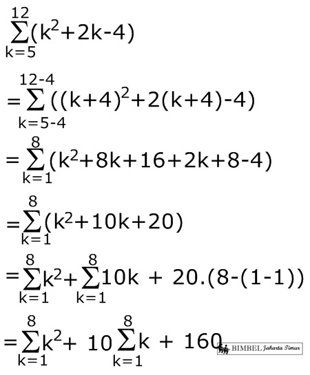
Berikut lebih jauh lagi adalah beberapa soal latihan tentang notasi sigma dengan pembahasannya.


Dalam matematika, penjumlahan adalah penambahan barisan bilangan apapun, yang disebut penjumlahan atau penjumlahan; hasilnya adalah jumlah atau totalnya. Selain angka, jenis nilai lain dapat dijumlahkan juga: fungsi, vektor, matriks, polinomial, dan, secara umum, elemen dari semua jenis objek matematika di mana operasi yang dilambangkan "+" didefinisikan.

Penjumlahan barisan tak hingga disebut deret. Mereka melibatkan konsep limit, dan tidak dibahas dalam artikel ini.

Penjumlahan barisan eksplisit dilambangkan sebagai suksesi penambahan. Misalnya, penjumlahan [1, 2, 4, 2] dilambangkan 1 + 2 + 4 + 2, dan menghasilkan 9, yaitu 1 + 2 + 4 + 2 = 9. Karena penjumlahan bersifat asosiatif dan komutatif, ada tidak perlu tanda kurung, dan hasilnya sama terlepas dari urutan pemanggilan. Penjumlahan barisan hanya satu elemen menghasilkan elemen ini sendiri. Penjumlahan barisan kosong (urutan tanpa elemen), dengan konvensi, menghasilkan 0.

Sigma adalah huruf besar kedelapan belas dari alfabet Yunani kuno. Ini direpresentasikan sebagai (Σ), juga dikenal sebagai notasi sigma. Sebagai huruf besar Yunani, notasi sigma digunakan untuk mewakili jumlah suku yang tidak terbatas.

Dalam Matematika Umum, huruf kecil (), umumnya digunakan untuk mewakili sudut yang tidak diketahui, serta, itu adalah awalan yang digunakan dalam situasi yang berbeda untuk menyatakan bahwa suatu istilah dirujuk dalam beberapa cara ke serikat pekerja yang dapat dihitung. Misalnya, aljabar sigma adalah sekelompok himpunan tertutup di bawah serikat yang dapat dihitung.

Contoh umum lain dari sigma (Σ) adalah bahwa ia digunakan untuk mewakili standar deviasi populasi atau distribusi probabilitas, di mana mu atau mewakili rata-rata populasi).

Definisi Sigma

Sigma adalah huruf ke-18 dari Alfabet Yunani. Dalam sistem bilangan Yunani, sigma memiliki nilai 200. Dalam Matematika Umum, huruf besar (Σ) digunakan sebagai operator penjumlahan, sedangkan huruf kecil () digunakan untuk mewakili sudut yang tidak diketahui.

Apa Arti Simbol Sigma?

Simbol sigma (Σ) digunakan untuk menyatakan jumlah suku tak hingga yang mengikuti suatu pola.

Apa itu Fungsi Sigma?

Misalkan x sembarang bilangan bulat sehingga x > 1.

Fungsi sigma bilangan bulat positif x didefinisikan sebagai jumlah dari pembagi positif x. Ini biasanya dilambangkan dengan huruf Yunani sigma (x).

Archimedes sangat berkonsentrasi dalam menghitung luas berbagai bentuk—dengan kata lain, jumlah ruang yang dilingkupi oleh bentuk itu. Dia menggunakan proses yang kemudian dikenal sebagai metode yang menggunakan bentuk yang lebih kecil dan lebih kecil, area yang dapat dihitung secara tepat, untuk mengisi wilayah yang tidak beraturan dan dengan demikian memperoleh perkiraan yang lebih dekat dan lebih dekat ke total area. Dalam proses ini, area yang dibatasi oleh kurva diisi dengan persegi panjang, segitiga, dan bentuk dengan rumus luas yang tepat. Daerah-daerah ini kemudian dijumlahkan untuk mendekati luas daerah lengkung.

Pada bagian ini, kami mengembangkan teknik untuk mendekati area antara kurva, yang didefinisikan oleh fungsi f(x), dan sumbu x pada interval tertutup [a,b]. Seperti Archimedes, pertama-tama kita memperkirakan area di bawah kurva menggunakan bentuk area yang diketahui (yaitu, persegi panjang). Dengan menggunakan persegi panjang yang lebih kecil dan lebih kecil, kami mendapatkan pendekatan yang lebih dekat dan lebih dekat ke area tersebut. Mengambil batas memungkinkan kita untuk menghitung area yang tepat di bawah kurva.



Posting Komentar

0 Komentar
* Please Don't Spam Here. All the Comments are Reviewed by Admin.

#buttons=(Accept !) #days=(20)

Our website uses cookies to enhance your experience. Learn More
Accept !